This website requires JavaScript.
Explore
Help
Register
Sign In
sookie
/
blog-web
Watch
1
Star
0
Fork
0
You've already forked blog-web
Code
Issues
12
Pull Requests
Projects
Releases
Wiki
Activity
blog-web
/
images
/
算法
/
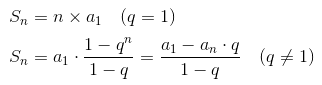
等比数列求和.png
结发受长生
5394ba5657
数据库索引原理浅析
2019-07-16 22:38:51 +08:00
3.7 KiB
322x85px
Raw
History