blog-web/source/_posts/算法/数据库索引原理浅析.md
2019-07-17 09:27:24 +08:00

5.0 KiB
Raw Permalink Blame History

title date tags categories
数据库索引原理浅析 2019-07-16 22:03:47
数据结构
索引
算法

阵列

二维阵列是最简单的数据结构, 我们可以把关系型数据库的一个表的内容看做一个阵列

二维阵列

  • 每行代表一个主体
  • 列用来描述主体的特征
  • 每个列保存的是某一种类型的数据 ( 整数/字符串/日期时间… )

如果采用这种方法保存数据 , 如果要一次性获得所有的数据十分方便 , 但是如果要查找特定的值 就要逐条记录进行遍历 在最不利的情况下 , 需要执行n次运算 时间复杂度1是O(n)

时间复杂度是一个函数它定量描述了该算法的运行时间。这是一个关于代表算法输入值的字符串的长度的函数。时间复杂度常用大O符号表述不包括这个函数的低阶项和首项系数。使用这种方式时时间复杂度可被称为是渐近的它考察当输入值大小趋近无穷时的情况。

如果想要检索的速度更快一些 , 就需要用到二叉树结构

树与数据库索引

二叉查找树是具有特殊属性的二叉树 , 其中的每个节点都代表了一条记录的数据 , 并且要满足如下要求

  • 比保存在其左子树的任何键值都要大
  • 比保存在其右子树的任何键值都要小

二叉查找树

如果要在二叉查找树中搜索一个值, 首先与根节点比较, 如果值比根节点的值小, 那么就去找左子树, 反之去找右子树 再与子树的根节点比较, 依次进行下去 最终结果可能是在某个节点找到了这个值 或者需要进入下一个子树时, 已经没有子树 那么就代表这个值在树当中不存在

比如说我要找208 , 步骤如下:

  1. 从键值为 136 的根开始,因为 136<208我去找节点136的右子树。
  2. 398>208所以我去找节点398的左子树
  3. 250>208所以我去找节点250的左子树
  4. 200<208所以我去找节点200的右子树。但是 200 没有右子树,值不存在(因为如果存在,它会在 200 的右子树)

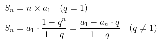
如果有n个数据 , 那么二叉树的深度就是log2(n) 所以这个查询的时间复杂度就是O(log2(n))

相当于一个等比数列求和, 首项是1, 公比是2, 总共有n项 根据等比数列的求和公式 等比数列求和公式 代入可知 S = 2n-1 当n趋向于正无穷 , S = 2n , 所以 n = log2(S) 这里的S就表示集合当中的数据总数, n就表示进行一次查询的节点访问次数

这种二叉查找树就是一个数据库索引的模型 当然, 如果直接套用上述的方式, 只能解决快速的精确查询(针对某个特定值的), 如果要查找某个范围内的值, 仍然需要遍历整个树

B+树索引

为了解决查找某个范围内的值的问题, 需要找到高效的范围查询的方法, 现代数据库使用了一种修订版的二叉查找树, 称为B+树 这种树结构有如下特点

  • 只有叶子节点才保存信息(根据其中的信息可以直接找到表中对应的行)
  • 其他节点只是在搜索中用来指引到正确节点的
  • 临近的叶子节点是相连的, 构成链表结构

B+树

当然会造成节点的数量更多, 但是这个树的深度只是增加了1, 即使是从中搜索某个特定的值, 时间复杂度仍然是O(log2(n))

使用这个树 , 比如要查找[40,100]之间的数据 那么首先找40即可(如果没有40, 就找40之后最接近的一个, 然后沿着叶子节点的链表结构依次向后遍历, 直到遇到一个比100大的数)

数据的增加与删除 解决了数据查询的问题, 但是一定会给数据的增加和删除带来额外的负担, 因为必须要维护B+树的结构, 否则查询的复杂度就会增加, 甚至会失败 也就是说这棵二叉树的子树必须尽可能匀称, 才能保证最佳的查询效率 如果一边偏重, 复杂度就会增加, 甚至极端的情况, 它整体成为了一个链表, 也就是对于每个节点, 它下方的所有节点均在其一棵子树上 那么就会彻底失去意义

B+树本身内置了自我整理和自我平衡的相关算法, 在这里暂且不做详细介绍 插入和删除对B+树的维护都是O(log2(n))的复杂度 所以对于一个表, 不宜创建太多的索引

哈希表

这种数据结构与Java当中的HashMap实现原理基本相同 只不过作为一个对象是在内存当中的 数据库存储和管理数据, 可以将硬盘存储于内存存储相结合 如果有了好的哈希函数(尽最大可能减少哈希冲突), 哈希表查找的时间复杂度是 O(1)

  • 一个哈希表可以只装载一半到内存, 剩下的哈希桶可以留在硬盘上
  • 如果要使用阵列, 则基于数组的结构需要连续的内存空间 , 如果数据量庞大 , 则很难分配到足够的内存空间
  • 使用哈希表可以根据需要选择关键字